MENUMENU
  • eLedger News
        • Weekly eLedger
          Read all ›
        • System Information

        • Read more ›
        • Elementary (PreK – 8)

        • Read more ›
        • High School (9 – 12)

        • Read more ›
        • Parish News

        • Read more ›
  • Life on the Ledge
        • Springs at a Glance
          Learn more
        • High School (9-12)

        • Explore ›
        • Elementary (PreK-8)

        • Explore ›
        • Faith Formation

        • Explore ›
        • More

        • Athletics
          • Student Life
          • Student Support
  • Resources
        • Skyward Access
          Login
        • Parents/Families

        • Go to resources ›
        • Students

        • Go to resources ›
        • Alumni

        • Go to resources ›
        • Staff & Faculty

        • Go to resources ›
        • Quick Links

        • Academic Calendar
          • Event Calendar
          • Athletics Calendar
          • Staff Directory
          • SMSA SCRIP – Gift Card Fundraising with RaiseRight
  • Giving
        • Why Give

        • Learn more ›
        • Donate Now

        • Give Online ›
        • SMSA Ledger Gear

        • Shop now ›
        • Contact Us

        • Learn More ›
        • Special Events

        • Learn more ›
  • Enroll
        • Why SMSA
          Learn more
        • Admissions

        • Enrollment
          • Annual Tuition
          • Tuition Assistance
          • Wisconsin Parental Choice
        • Tours & Shadows

        • Explore ›
        • Contact Us

        • Connect ›
        • Enroll Now

        • Apply Online ›
  • About Us
        • SMSA at a Glance
          Learn more
        • Mission & Tradition

        • Learn more ›
        • System Leadership

        • Learn more ›
        • The Ledger Way

        • Explore Core Values ›
        • Visiting Campus

        • Explore ›
        • Quick Links

        • Contact Us
          • Careers
          • 360 Virtual Tour
          • School Profile
          • SMSA Video
          • Ledge Magazine
  • Donate Now
  • Donate Now
  • eLedger News
    • Read All Categories
    • System Information
    • Elementary (P3-8) & Childcare
    • High School (9-12)
    • Parish News
  • Life on the Ledge
    • Springs at a Glance
    • High School (9-12)
      • High School Overview
      • High School Academics
      • Marian University Partnership
    • Elementary School (PreK-8)
      • Elementary School Overview
      • Family & Community Engagement
    • Faith Formation
      • Unleashed by Faith
      • Campus Ministry
      • Servant Leadership
      • Our Lady of the Ledge
    • Athletics
      • Athletics Overview
      • Athletics Calendar
      • Teams & Coaches
      • Athletic Booster Club
      • Camps & Clubs
      • Hall of Fame
    • Student Life
      • Student Life Overview
      • Extracurriculars/Clubs
      • Music, Band, Choir
      • Performing Arts
      • Visual Arts
      • Parents of Performing Arts
    • Student Support
      • Student Support Overview
      • Counseling
      • Health Services
      • Student Services
  • Resources
    • Skyward Access
    • Parents & Families
    • Student Resources
    • Alumni Resources
    • Staff & Faculty Resources
    • Event Calendar
    • Athletics Calendar
    • Staff Directory
    • SMSA SCRIP – Gift Card Fundraising with RaiseRight
    • The Ledge Magazine
  • Giving
    • Why Give
    • Donate Now
    • Contact Us
    • Special Events
      • Big Money Raffle
      • Ledgerfest
      • Swing Fore Springs
  • Enroll
    • Why SMSA
    • Admissions
      • Enrollment
      • Annual Tuition
      • Tuition Assistance
      • Wisconsin Parental Choice
    • Tours & Shadows
    • Contact Admissions
    • Enroll Online
  • About Us
    • SMSA at a Glance
    • Mission & Tradition
    • System Leadership
    • The Ledger Way
    • Visiting Campus
    • Contact Us
    • Careers
    • School Profile
  • SMSA Ledger Gear
  • COVID-19
  • 360 Virtual Tour
  • SMSA Video
  • High School (9-12)
  • Elementary School (PreK-8)
  • Faith Formation
  • Athletics
  • Student Life
  • Student Support
banner-ledger-way-blue

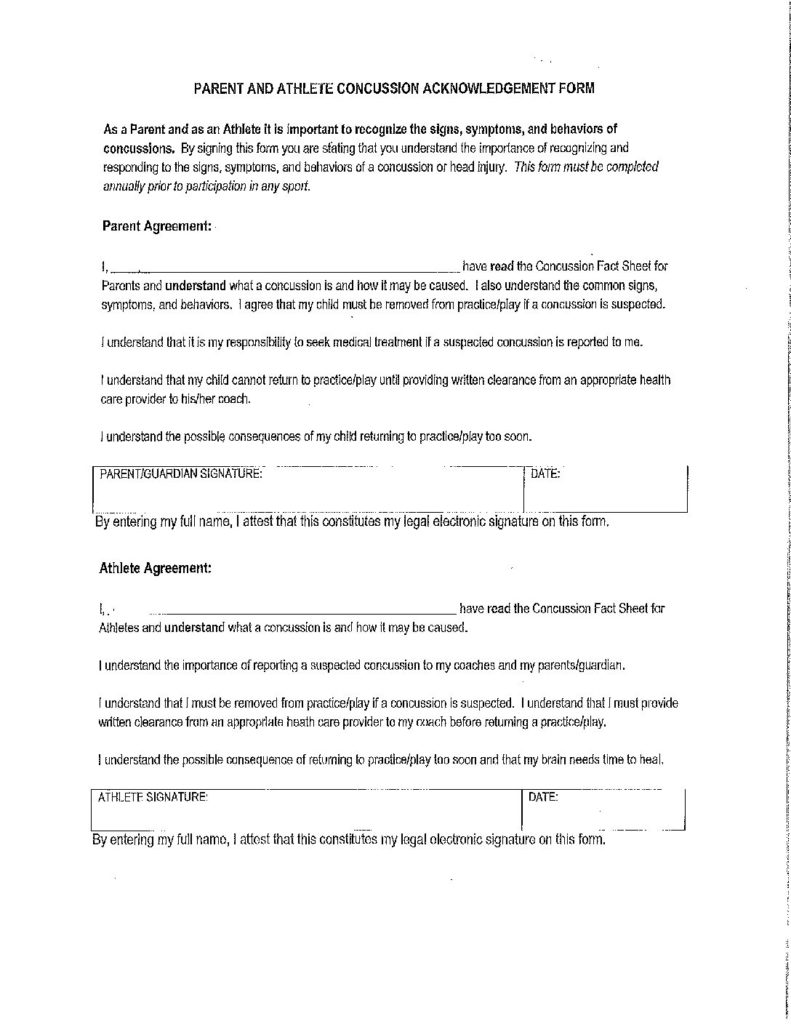
Athletic_Form_-_Concussion

  • Teams & Coaches
  • Athletic Booster Club
  • Camps & Clubs
  • Hall of Fame
  • Calendars
← Back

Join our
Ledger
Community

Connect with our admissions department to get more information on how you can join SMSA.

 

Go!

Follow Us

Contact Us
  • Events Calendar
  • Athletics Calendar
  • Skyward Family Access
  • Skyward User Guide
  • Enrollment
  • The Ledger Way
  • Careers
  • Faculty and Staff Directory
  • Nondiscriminatory Policy
Copyright ©2026 St. Mary's Springs Academy | 255 County Road K · Fond du Lac, WI 54937  920.924.0993 | Fax 920.922.7849